海康吴希颜后裔迁居徐闻录
据1995吴雨文编修的《渤海郡吴氏希颜公族谱》辑录 吴卫东整理
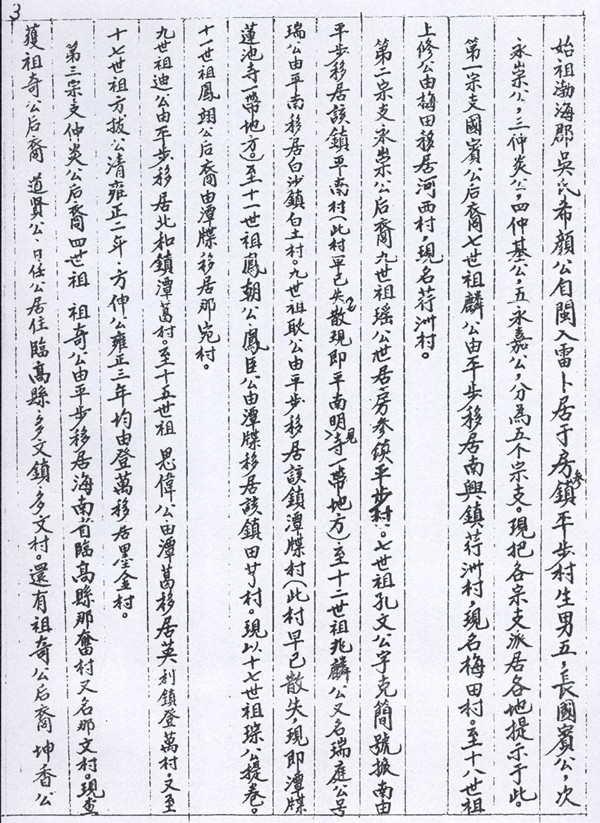
南宋淳熙十六年,吴希颜自闽入粤,卜居雷州房参镇平步村,生五男,国宾、永崇、仲炎、仲基、永嘉,分为五个宗支。
第二宗支12世观生公移居雷城镇,后裔至16世敬修公移居白沙镇夏路村,23世定贤公移居徐闻县迈陈镇那黄村。
元朝初期,第五宗支永嘉公后裔五世祖寿乾公,由海康平步移居徐闻县下桥镇迈胜村(此村已散失),至十世祖金后公移居该县龙塘镇大安村。有25世正鼎公偕男精伍公(海南大学毕业)由大安村移居海南省琼山县北官东村。
吴希颜十八世宝金公移居南宋社长安村(现徐闻下桥镇加山头村),由于兵荒马乱,部分后裔散居海康英利镇青桐大村。







【关于我们】今日采访.com、天下吴氏网、至德传媒网隶属于泰伯文化传媒(重庆)有限公司独家运营的三网合一公益性网站,集官网、APP、自媒体、抖音、视频号、公众号同步传播的综合性融媒体平台。
在国家法律许可下,遵纪守法、守正创新、传递正能量,坚持正确的舆论导向,坚持客观、真实展播、记录生活,坚持正确的主观立场,以弘扬至德精神!传播优秀文化为主旋律!
渝ICP备 15011658号-3天下吴氏网
渝ICP备 15011658号-5至德传媒网
渝ICP备 15011658号-8今日采访.com
只要你是正能量的来稿,我们都欢迎!
联系人 吴蜀丰
电话 18883313913(微信同号)

责任编辑:上官慧慧
关于我们|今日采访人员公示(更新|
投稿须知|
联系我们|
版权所有 今日采访网 电话: 18883313913 | 电子邮件:wsf905080184@qq.com
023-62795070
媒体支持:中国报道网
合作媒体: 泰伯文化传媒(重庆)有限公司独家营运
常年法律顾问吴彭龄 执业证号码:13202199210937510 江苏仁勤律师事务所
地址:重庆市巴南区融汇大道7号1-13-10 |备案号:渝ICP备15011658号